NAIC Economic Scenario Generator Project
Scenario Reduction Techniques
One of the components of the Academy Interest Rate Generator is the Scenario Picker Tool. This tool creates subsets (i.e., 50, 200, 500, and 1000 scenarios) from the full set of 10,000 scenarios, which can be used to reflect the full distribution. Currently, if a scenario subset is used in reserve calculations, VM-20 prescribes use of the Scenario Picker Tool to derive the subset, but VM-21 does not. Note that VM-20 still requires a demonstration that the use of a selected subset of the full scenario set does not materially understate the reserve and that the expected value of the reserve calculated using the technique is not less than the expected value of the reserve calculated on the full set. (VM-20, Section 2.G)
At this time the proposed Scenario Picker Tool still follows the current Academy methodology to create scenario subsets. The current NAIC plan is for prescribed scenario files of 50, 200, 500, 1000 and 10000 to be produced by the vendor of the ESG each month (using the scenario picking tool for the reduced sets) and stored on a jointly managed web page where they may be freely accessed by the industry for point in time valuation. Scenario subsets as of a given valuation date will therefore contain the same scenarios for all users. Users will not be permitted to choose a custom number of scenarios other those provided on the site.
For reference, the NAIC provides a link under the Economic Scenarios section of PBR Data offering the Scenario Selection Tool available for download under Documentation Describing the ESG.
More technical information on the significance method technique used for the current scenario picking tool can be found in the following paper:
Chueh, Yvonne C.M. "Efficient Stochastic Modeling for Large and Consolidated Insurance Business: Interest Rate Sampling Algorithms," NAAJ, Vol. 6, No. 3, July 2002, pages 88- 103.
This article may be downloaded from the Journal archives which are currently managed by Taylor & Francis Online. For SOA members, access to the Journal archive is free.
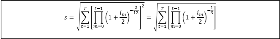
The general algorithm used in the AIRG scenario picking tool, called the Significance Method, is described on pages 92-93 of the article. This method is a stratified sampling technique that ranks the candidate scenarios by a selected significance measure reflecting the overall magnitude of the interest rates in the scenario, dividing the full scenario set sorted by its ranking measure into equal size cohorts and using the central scenario from each cohort. The significance measure used by the AIRG was:

where im is the monthly long rate (i.e., 20-year rate) from the interest rate model, and the measure is calculated over the entire time period of the scenario.
For the application of this tool to the new proposed Scenario Set, the selection of the subset of scenarios from the interest rate model automatically picks the corresponding scenarios from the Bond Fund and the Equity Return models.